Температурное удлинение трубопроводов
- Почему нужно учитывать температурные изменения
- Расчет температурного удлинения трубопроводов из сшитого полиэтилена
- Как рассчитать прогиб
- Способы компенсации деформаций полимерных трубопроводов при изменении температурных режимов
- Преимущества труб из сшитого полиэтилена РЕХАУ
Изменение температурных режимов из-за времени года или особенностей климата может спровоцировать деформацию труб отопления или водоснабжения. Это происходит в любом случае, независимо от того, из какого материала они изготовлены. Избежать деформации помогают расчеты удлинения трубы при колебаниях температуры окружающей среды и теплоносителя. Цель — найти величину линейного изменения длины трубопровода при сужении и расширении, чтобы не допустить повреждений и установить компенсирующие элементы.
Если не учитывать необходимость установки компенсаторов, то при открытой прокладке трассы трубы могут провисать или даже привести к поломке всей системы. Именно поэтому расчет температурных расширений трубопроводов — обязательная процедура, которая требует профессиональных знаний.
Почему нужно учитывать температурные изменения
При строительстве магистрали отопления или водоснабжения необходимо обеспечить некоторый люфт для труб, принимая во внимание расчет допусков на увеличение их длины. Если этого не сделать, при монтаже разводки могут возникнуть сложности. Типовые ошибки:
- Укладка труб холодного и горячего водоснабжения в стяжку пола без применения утеплителя или защитной гофрированной оболочки.
- Открытая прокладка — например, при установке радиаторов отопления — без использования специальных устройств для компенсации расширения труб.
Расчет удлинений труб под воздействием температурных изменений проводится с учетом материала изготовления. Так, если изделия полимерные, вычисления необходимы только при открытой укладке. Если прокладка скрытая, компенсация удлинений происходит за счет изгибов магистрали, уложенной в защитном коробе либо в теплоизоляции в процессе смены направления трассы. В данном случае компенсация удлинений вследствие изменения температурных режимов достигается за счет напряжений в стяжке или в штукатурке. Технология скрытой прокладки должна обеспечивать возможность компенсации деформаций без механического повреждения соединительных элементов и самих труб.
Следует заметить, что стяжка способна выдерживать напряжение без разрушения, поскольку возникающие усилия минимальны и составляют незначительный процент от запаса прочности. Здесь важно, чтобы при заливке раствор не попал внутрь защитного короба или под слой теплоизоляции.
Подсоединение труб выполняется посредством настенных угольников. Так осевые перемещения не оказывают усилий на узел присоединения. Трубопровод монтируется к распределительному коллектору с поворотом под 90° на выходе из-под штукатурки или стяжки. В результате усилия передаются на коротких участках, чем можно пренебречь.

Расчет температурного удлинения трубопроводов из сшитого полиэтилена
Если была выполнена открытая прокладка с использованием полимерных труб, нужно учитывать большой коэффициент температурного удлинения, свойственный этому материалу. Физический смысл этого показателя сводится к тому, что он показывает, на сколько миллиметров увеличится в длину один метр трубы при нагреве на 1 ℃. Аналогичным образом действует коэффициент изменения температурного режима и в обратном направлении, показывая, на сколько станет короче метровый участок трубы при охлаждении на один градус. Например, коэффициент для водопроводных труб из сшитого полиэтилена РЕХАУ диаметром от 16 до 63 мм составит 0,15 при константе материала 12.
Температурное удлинение участка магистрали пропорционально его длине и разнице двух температур — максимальной рабочей и монтажа. Рассмотрим пример. При укладке 10 м трубопровода горячего водоснабжения при температуре окружающей среды 20 ℃, а максимальной — 70 ℃, температурное удлинение составит 75 мм. Это высчитывается по формуле ΔL = L × α × ΔТ (t макс. раб. – t монтажа), где ΔL означает температурное удлинение в миллиметрах, L — длину участка магистрали в метрах, α — коэффициент ТУ в мм/м × К, а ΔТ — разность температур в K. Полученные результаты показывают, что будет иметь место деформация системы (провисание), что скажется не только на ее внешнем виде, но и на надежности крепежей и функциональности запорно-регулировочной арматуры.
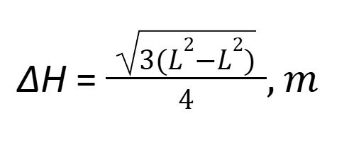
Как рассчитать прогиб
Для определения прогиба нужно знать длину участка трубы между хомутами и при максимальной рабочей температуре. Эти значения — L и L1 соответственно. Формула расчета выглядит следующим образом:

При использовании такого метода выясняется, что в случае температурного удлинения на 75 мм прогиб на десятиметровом отрезке трубы составит 0,53 м.
Способы компенсации деформаций полимерных трубопроводов при изменении температурных режимов
Сегодня в строительстве магистралей водоснабжения и отопления применяется несколько способов компенсации температурных деформаций. Рассмотрим отдельно каждый из них.
Монтаж дополнительных хомутов крепления
Благодаря использованию данных элементов удается предотвратить провисания и прогибы. Рекомендованное максимальное расстояние между хомутами определяется в соответствии с диаметром и материалом трубы. Так, для универсальных полимерных изделий диаметром 20 мм это расстояние составит 1 м. У аналогичных элементов трубопровода диаметром 32 мм оно увеличится до 1,4 м.

Установка Г-образного компенсатора
Такие компенсаторы на полипропиленовые и стальные трубы ставятся одинаково: монтаж Г-образного компенсатора заключается в сборке элементов трубопровода в конфигурацию прямого угла методом сварки или иного соединения с последующей интеграцией данной конструкции в систему. Процесс осуществляется на основе предварительных расчетов теплового удлинения для конкретного материала труб (полипропилен, сталь).
Применение этого способа к элементам системы водоснабжения или отопления из сшитого полиэтилена более эффективно в силу их высокой эластичности. Для монтажа компенсатора нужно определить температурное удлинение ΔL от прямого участка перед поворотом. Данная величина оказывает влияние на расстояние от магистрали до строительной конструкции (оно не должно быть меньше ΔL). Чтобы труба свободно изгибалась, первый хомут крепления ставится на некотором расстоянии после поворота. Оно обозначается в расчетных формулах как LBS. Другие значения:
- x — минимальное расстояние от стены;
- L — длина трубы;
- ΔL — температурное удлинение;
- FP — неподвижная опора;
- GS — скользящий хомут.
Длина плеча компенсатора обусловлена тем, из чего сделан трубопровод. Вычисляется она по формуле:

Константами в ней являются: С — материал трубы, d — наружный диаметр, ΔL — температурное удлинение. На практике Г-образные компенсаторы показывают себя как экономичные и эффективные, не требующие дополнительных усложнений. Фиксирующие желоба здесь не устанавливаются во избежание нарушения изгиба.
П-образные системы
Этот метод используется, если нежелательна компенсация температурных удлинений на краях участка. Как правило, выбирается место посередине отрезка трубопровода и устраивается П-образный компенсатор с основаниями, равномерно смещенными к центру с обеих сторон. Длина плеча рассчитывается по приведенной выше формуле. При этом ширина основания должна быть не менее половины этого показателя. В идеале для обеспечения полной компенсации такие устройства должны устанавливаться в одной точке каждые 15–30° (от 0 до 180°).
Использование фиксирующего желоба
Нередко для сокращения деформаций из-за изменения температурных режимов применяются ложементы из оцинкованной стали с отбортовкой по краям. Эти фиксирующие полукруглые желоба выпускаются под конкретные диаметры труб. Их легко разрезать при помощи ножовки или болгарки, но важно хорошо зачистить место среза. Минимальное расстояние между хомутами крепления составляет 2 миллиметра для трубопроводов любых диаметров.
Установка сильфонных компенсаторов
Для поглощения теплового расширения трубы применяются сильфонные компенсирующие устройства. Они монтируются по одной штуке на участке магистрали между каждыми двумя неподвижными опорами. Основными параметрами в данном случае будут диаметр, давление и компенсирующая способность. Кроме того, при расчетах учитывают силы трения и упругости сильфонов. На участках трубопроводов с этими устройствами должны быть исключены напряжения скручивания, поперечные перемещения и угловые усилия. Опрессовка выполняется только после полного завершения монтажа.
Монтаж неподвижных опор
Когда необходимо обеспечить компенсацию на длинном отрезке магистрали водоснабжения или отопления, применяют неподвижные опоры. Это относится, например, к работе с трубопроводами, у которых есть много ответвлений и тройников для распределения воды по квартирам. При монтаже на тройники с обеих сторон устанавливаются скользящие хомуты с надвижными гильзами. Такое решение не позволяет фасонной части смещаться, а длинный участок оказывается разбит на несколько коротких. Это сокращает температурное удлинение, прямо пропорциональное длине части трубопровода.
Если неподвижные опоры монтируются на каждом этаже, прочих устройств компенсации не требуется. На «холостой» стояк без боковых отводов можно ставить равнопроходные муфты и с их помощью сформировать неподвижные опоры. Для оптимизации финансовых затрат имеет смысл установить на стояке сильфонные, Г- или П-образные компенсаторы.
Самокомпенсация
Наряду с компенсаторами разного типа для сглаживания деформации труб от изменения температурных режимов используется эффект самокомпенсации. Он годится для тепловых и водопроводных магистралей. В основе эффекта лежит принцип естественной компенсации за счет упругости самих труб. Используется этот метод на участках, где трубопровод меняет свое направление.
К основным достоинствам самокомпенсации относятся надежность, простота выполнения, отсутствие напряженности опор, ремонта и надзора. Кроме того, в данном случае нет затрат на приобретение специальных компенсаторов и дополнительных металлоконструкций. Рекомендуется прибегать к помощи компенсирующих устройств только тогда, когда самокомпенсацию реализовать невозможно. Например, при наличии длинных прямолинейных участков магистрали и условий расположения рядом коммуникаций и других объектов.

Преимущества труб из сшитого полиэтилена РЕХАУ
Когда речь заходит о выборе труб для систем водоснабжения или отопления, все чаще внимание обращают на изделия из сшитого полиэтилена (PE-Xa). В профессиональной среде данный материал считается золотым стандартом. Его основу составляет особая молекулярная структура с прочными поперечными связями. Уровень сшивки, определяемый специальным коэффициентом, придает изделиям высокую прочность, термостойкость и гибкость.
Другие преимущества труб PE-Xa от РЕХАУ
- Защита от отложений. Благодаря идеально гладкой внутренней поверхности такие трубы меньше подвержены образованию налета и засоров. Это важно для систем питьевого водоснабжения.
- Простота монтажа. При строительстве магистралей применяются аксиальные фитинги и надвижные гильзы РЕХАУ, что позволяет собирать систему быстро и надежно.
- Долговечность. Срок службы труб РЕХАУ из сшитого полиэтилена достигает 50 лет без необходимости ремонта или сложного обслуживания.
- Гигиеничность. Материал полностью безопасен для питьевой воды, не выделяет вредных веществ и соответствует санитарным требованиям.
- Стойкость к температурам. PE-Xa выдерживает нагрев до +95 °C и сохраняет свои свойства даже при морозах до –10 °C.
- Эффект памяти формы. При заломе труба сама восстанавливает геометрию, сохраняя прочность соединений.
Для всех труб РЕХАУ формулы расчета температурных удлинений даются на курсах Академии. Кроме того, для монтажников доступны и специальные сервисы: внедрен удобный инструмент — калькулятор, который доступен в личном кабинете специалиста, в приложении «РЕХАУ.Про Качество» и чат-боте R.Bot. Сервис быстро и точно произведет расчет температурного удлинения, чтобы устанавливаемая система работала стабильно при перепадах температуры.